Упр.2.33 ГДЗ Мордкович 9 класс (Алгебра)
Решение #1

Рассмотрим вариант решения задания из учебника Мордкович 9 класс, Мнемозина:
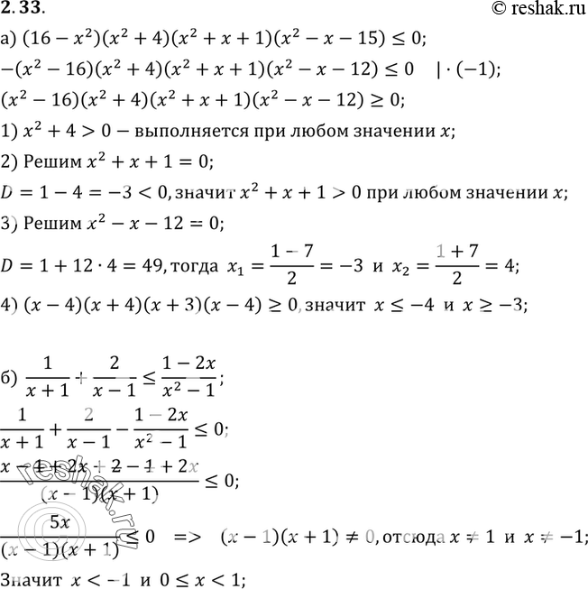
2.33. а) (16 - x2)(x2 + 4)(x2 + х + 1)(x2- х - 12) <=0,
б) 1/(x+1) + 2/(x-1) <= (1-2x)/(x2-1);
в) (х2 + 12x + 35)(2x + 10)(x2 + 14x + 49) > 0;
г) 4- x/(5-x) +3x/(x2-25) <4.
*размещая тексты в комментариях ниже, вы автоматически соглашаетесь с пользовательским соглашением