Упр.973 ГДЗ Макарычев Миндюк 9 класс (Алгебра)
Решение #1
Решение #2

Рассмотрим вариант решения задания из учебника Макарычев, Миндюк, Нешков 9 класс, Просвещение:
973. Решите систему уравнений способом подстановки:
а) система
x2+y+8=xy,
y-2x=0;
б) система
x2-y2=16,
x+y=8;
в) система
x+y=5,
x2-xy+y2=13;
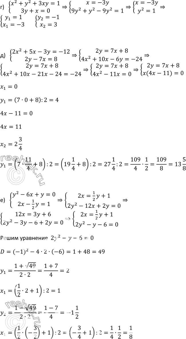
г) система
x2+y2+3xy=1,
3y+x=0;
д) система
2x2+5x-3y=-12,
2y-7x=8;
е) система
y2-6x+y=0,
2x-1y/2 =1.
*размещая тексты в комментариях ниже, вы автоматически соглашаетесь с пользовательским соглашением