Упр.653 ГДЗ Макарычев Миндюк 9 класс (Алгебра)
Решение #1
Решение #2
Решение #3

Рассмотрим вариант решения задания из учебника Макарычев, Миндюк, Нешков 9 класс, Просвещение:
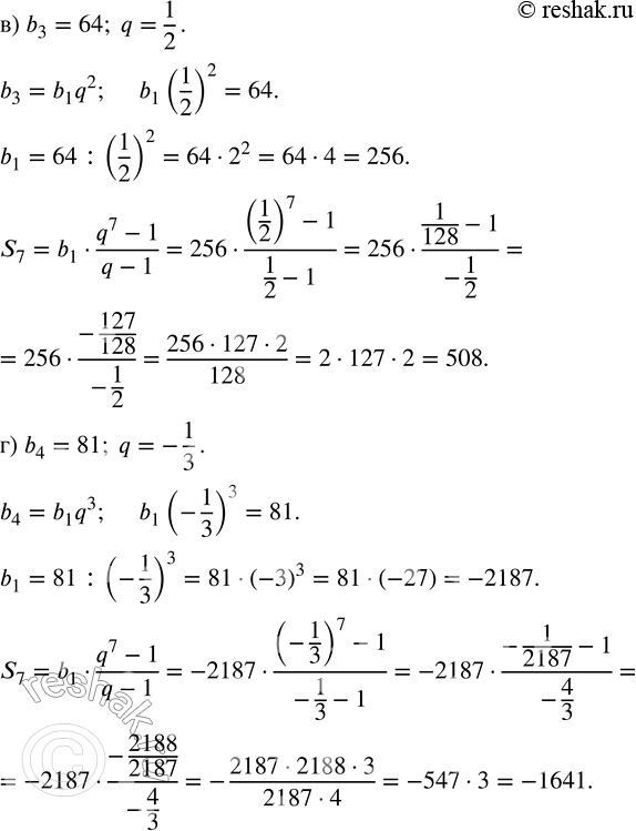
653. Найдите сумму первых семи членов геометрической прогрессии (bn), если:
а) b7 = 72,9, q = 1,5; в) b3 = 64, q = 1/2
б) b5 = 16/9, g = 2/3; г) b4 = 81, q = -1/3.
*размещая тексты в комментариях ниже, вы автоматически соглашаетесь с пользовательским соглашением