Упр.190 ГДЗ Макарычев Миндюк 9 класс (Алгебра)
Решение #1
Решение #2
Решение #3

Рассмотрим вариант решения задания из учебника Макарычев, Миндюк, Нешков 9 класс, Просвещение:
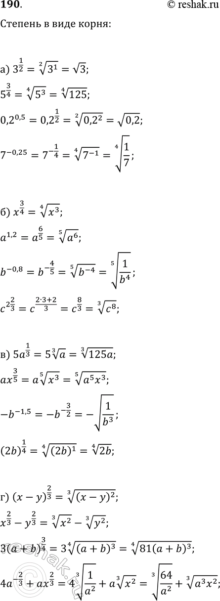
190 Представьте степень с дробным показателем в виде корня
а) 3^1/2, 5^3/4, 0,2^0,5, 7^-0,25;
б) x3/4,a1,2, b^-0,8,c^2*2/3;
в) 5a1/3, ax3/5, -b^-1,5, (2b)1/4;
г) (x-y)2/3, x2/3 -y2/3, 3(a+b)3/4, 4a^2/3 + ax2/3.
*размещая тексты в комментариях ниже, вы автоматически соглашаетесь с пользовательским соглашением