Упр.861 ГДЗ Колягин Ткачёва 11 класс (Алгебра)
Решение #1
Решение #2

Рассмотрим вариант решения задания из учебника Колягин, Ткачёва, Фёдорова 11 класс, Просвещение:
Решить уравнение (861—876).
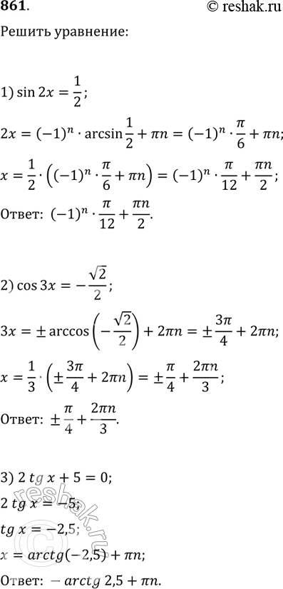
861 1) sin2x = 1/2;
2) cos3x = -корень 2/2;
3) 2tgx + 5 = 0.
*размещая тексты в комментариях ниже, вы автоматически соглашаетесь с пользовательским соглашением