Упр.8 ГДЗ Дорофеев Суворова 8 класс (Алгебра)
Решение #1

Рассмотрим вариант решения задания из учебника Дорофеев, Суворова, Бунимович 8 класс, Просвещение:
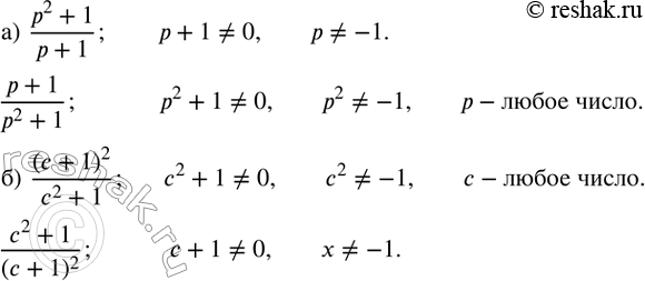
8. Используя данные выражения, составьте две дроби и найдите допустимые значения переменной для каждой из них:
а) (p^2+1) и (p+1);
б) (c+1)^2 и (c^2+1).
*размещая тексты в комментариях ниже, вы автоматически соглашаетесь с пользовательским соглашением