Упр.742 ГДЗ Дорофеев Суворова 8 класс (Алгебра)
Решение #1

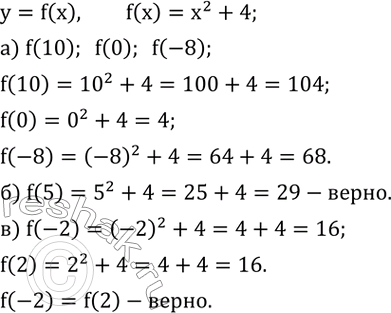
Рассмотрим вариант решения задания из учебника Дорофеев, Суворова, Бунимович 8 класс, Просвещение:
742. Дана функция y=f(x), где f(x)=x^2+4.
а) Как обозначить значение функции, соответствующее значению аргумента, равному 10? 0? -8? Вычислите эти значения функции.
б) Используя функциональную символику, запишите следующее утверждение: если значение аргумента равно 5, то значение функции равно 29. Верно ли это утверждение?
в) Запишите на символическом языке утверждение: функция принимает равные значения при x=-2 и x=2. Верно ли это утверждение?
*размещая тексты в комментариях ниже, вы автоматически соглашаетесь с пользовательским соглашением