Упр.611 ГДЗ Мерзляк Полонский 9 класс (Геометрия)
Решение #1

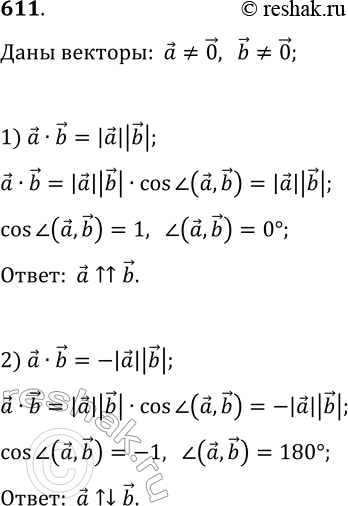
Рассмотрим вариант решения задания из учебника Мерзляк, Полонская, Якир 9 класс, Вентана-Граф:
611. Определите взаимное расположение двух ненулевых векторов а и b, если:
1) a·b=|a||b|; 2) a·b=-|a||b|.
*размещая тексты в комментариях ниже, вы автоматически соглашаетесь с пользовательским соглашением