Упр.534 ГДЗ Колягин Ткачёва 8 класс (Алгебра)
Решение #1

Рассмотрим вариант решения задания из учебника Колягин, Ткачёва, Фёдорова 8 класс, Просвещение:
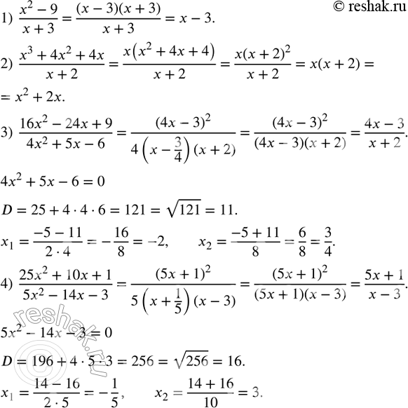
534. Сократить дробь:
1) (x^2-9)/(x+3);
2) (x^3+4x^2+4x)/(x+2);
3) (16x^2-24x+9)/(4x^2+5x-6);
4) (25x^2+10x+1)/(5x^2-14x-3).
*размещая тексты в комментариях ниже, вы автоматически соглашаетесь с пользовательским соглашением