Упр.518 ГДЗ Дорофеев Суворова 8 класс (Алгебра)
Решение #1

Рассмотрим вариант решения задания из учебника Дорофеев, Суворова, Бунимович 8 класс, Просвещение:
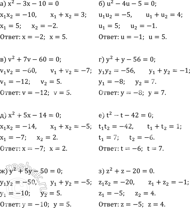
518. Решите квадратное уравнение подбором корней:
а) x^2-3x-10=0;
б) u^2-4u-5=0;
в) v^2+7v-60=0;
г) y^2+y-56=0;
д) x^2+5x-14=0;
е) t^2-t-42=0;
ж) y^2+5y-50=0;
з) z^2+z-20=0.
*размещая тексты в комментариях ниже, вы автоматически соглашаетесь с пользовательским соглашением