Упр.467 ГДЗ Колягин Ткачёва 10 класс (Алгебра)
Решение #1
Решение #2

Рассмотрим вариант решения задания из учебника Колягин, Ткачёва, Фёдорова 10 класс, Просвещение:
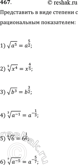
467. (Устно.) Представить в виде степени с рациональным показателем:
1) корень a5;
2) корень 5 степени x4;
3) корень b3;
4) корень 3 степени a^-1;
5) корень 6 степени 6;
6) корень 7 степени a^-5.
*размещая тексты в комментариях ниже, вы автоматически соглашаетесь с пользовательским соглашением