Упр.445 ГДЗ Колягин Ткачёва 8 класс (Алгебра)
Решение #1

Рассмотрим вариант решения задания из учебника Колягин, Ткачёва, Фёдорова 8 класс, Просвещение:
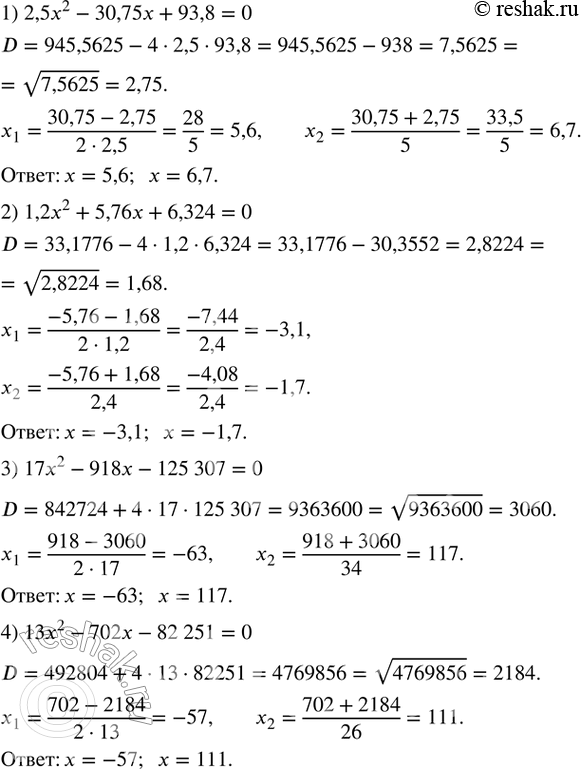
445. С помощью микрокалькулятора решить уравнение:
1) 2,5x^2-30,75x+93,8=0;
2) 1,2x^2+5,76x+6,324=0;
3) 17x^2-918x-125 307=0;
4) 13x^2-702x-82 251=0.
*размещая тексты в комментариях ниже, вы автоматически соглашаетесь с пользовательским соглашением