Упр.436 ГДЗ Колягин Ткачёва 10 класс (Алгебра)
Решение #1
Решение #2

Рассмотрим вариант решения задания из учебника Колягин, Ткачёва, Фёдорова 10 класс, Просвещение:
Вычислить (436—438).
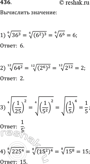
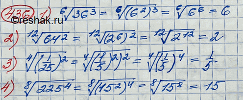
436. 1) корень 6 степени 36^3;
2) корень 12 степени 64^2;
3) корень 4 степени (1/25)2;
4) корень 8 степени 225^4.
*размещая тексты в комментариях ниже, вы автоматически соглашаетесь с пользовательским соглашением