Упр.41 ГДЗ Колягин Ткачёва 11 класс (Алгебра)
Решение #1
Решение #2

Рассмотрим вариант решения задания из учебника Колягин, Ткачёва, Фёдорова 11 класс, Просвещение:
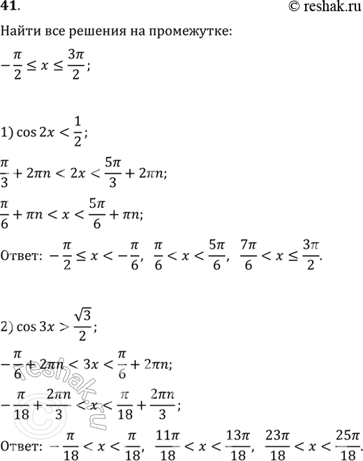
41. Найти все принадлежащие промежутку -пи/2 <= х <= 3пи/2 решения неравенства:
1) cos2x<1/2;
2) cos3x> корень 3/2.
*размещая тексты в комментариях ниже, вы автоматически соглашаетесь с пользовательским соглашением