Упр.378 ГДЗ Никольский Потапов 7 класс (Алгебра)
Решение #1

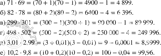
Рассмотрим вариант решения задания из учебника Никольский, Потапов 7 класс, Просвещение:
378. Вычислите, используя формулу разности квадратов:
а) 71 * 69;
б) 82 * 78;
в) 299 * 301;
г) 498 * 502;
д) 3,01 * 2,99;
е) 10,2 * 9,8.
*размещая тексты в комментариях ниже, вы автоматически соглашаетесь с пользовательским соглашением