Упр.365 ГДЗ Колягин Ткачёва 11 класс (Алгебра)

Решение #1

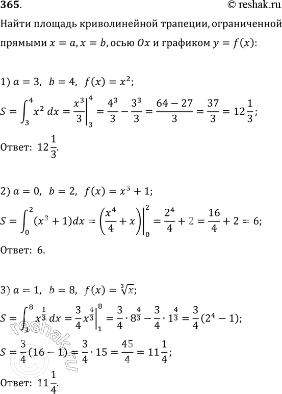
Изображение 365. Найти площадь криволинейной трапеции, ограниченной прямыми х = а, х = b, осью Оx и графиком функции у = f(х), если:1) а = 3, b = 4, f(x) = х2; 2) а = 0, b = 2,...
Дополнительное изображение

Решение #2

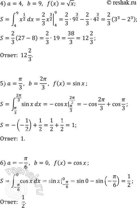
Изображение 365. Найти площадь криволинейной трапеции, ограниченной прямыми х = а, х = b, осью Оx и графиком функции у = f(х), если:1) а = 3, b = 4, f(x) = х2; 2) а = 0, b = 2,...
Загрузка...

Рассмотрим вариант решения задания из учебника Колягин, Ткачёва, Фёдорова 11 класс, Просвещение:
365. Найти площадь криволинейной трапеции, ограниченной прямыми х = а, х = b, осью Оx и графиком функции у = f(х), если:
1) а = 3, b = 4, f(x) = х2;
2) а = 0, b = 2, f(х) = х3 + 1;
3) а = 1, b = 8, f(х) = корень 3 степени х ;
4) а = 4, и = 9, f(х) = корень х;
5) а = пи/3, b = 2пи/3, f(х) = sinx;
6) а = -пи/6, b = 0, f(х) = cosx.

3 3 6
*Цитирирование задания со ссылкой на учебник производится исключительно в учебных целях для лучшего понимания разбора решения задания.
*размещая тексты в комментариях ниже, вы автоматически соглашаетесь с пользовательским соглашением