Упр.362 ГДЗ Колягин Ткачёва 11 класс (Алгебра)
Решение #1
Решение #2

Рассмотрим вариант решения задания из учебника Колягин, Ткачёва, Фёдорова 11 класс, Просвещение:
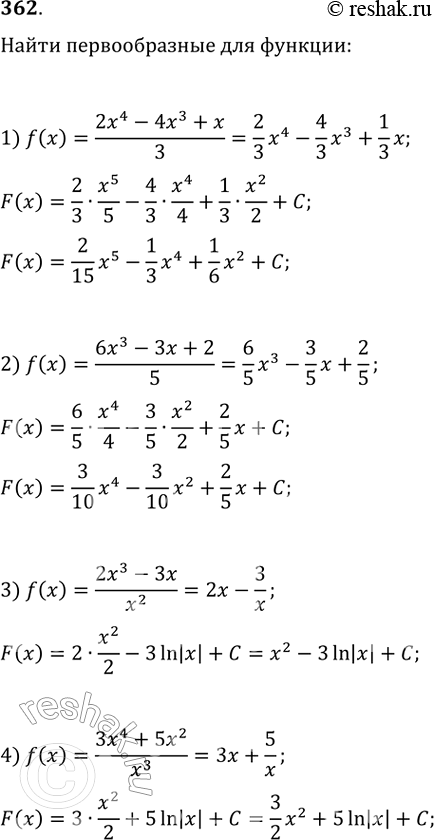
362. 1) 2x4-4x3+x/3;
2) 6x3-3x+2/5;
3) 2x3-3x/x2;
4) 3x4+5x2/x3;
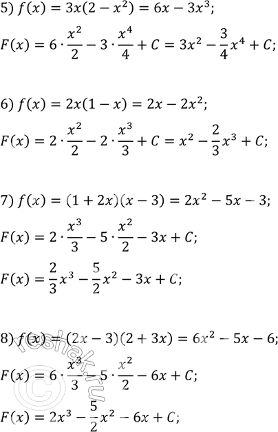
5) 3x(2-x2);
6) 2x(1-x);
7) (1+2x)(x-3);
8) (2x-3)(2+3x).
*размещая тексты в комментариях ниже, вы автоматически соглашаетесь с пользовательским соглашением