Упр.36.1 ГДЗ Мерзляк 10 класс Базовый уровень (Алгебра)
Решение #1

Рассмотрим вариант решения задания из учебника Мерзляк, Номировский, Полонский 10 класс, Вентана-Граф:
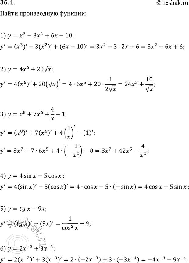
36.1. Найдите производную функции:
1) y=x^3-3x^2+6x-10; 4) y=4sin(x)-5cos(x);
2) y=4x^6+20vx; 5) y=tg(x)-9x;
3) y=x^8+7x^6+4/x-1; 6) y=2x^(-2)+3x^(-3).
*размещая тексты в комментариях ниже, вы автоматически соглашаетесь с пользовательским соглашением