Упр.332 ГДЗ Дорофеев Суворова 8 класс (Алгебра)
Решение #1

Рассмотрим вариант решения задания из учебника Дорофеев, Суворова, Бунимович 8 класс, Просвещение:
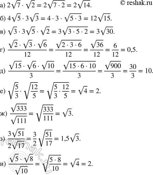
332. Упростите:
а) 2v7•v2;
б) 4v5•3v3;
в) v3•3v5•v2;
г) (v2•v3•v6)/12;
д) (v15•v6•v10)/3;
е) v(5/3)•v(12/5);
ж) v333/v111;
з) (3v51)/(2v17);
и) (v5•v8)/v10.
*размещая тексты в комментариях ниже, вы автоматически соглашаетесь с пользовательским соглашением