Упр.296 ГДЗ Никольский Потапов 7 класс (Алгебра)
Решение #1

Рассмотрим вариант решения задания из учебника Никольский, Потапов 7 класс, Просвещение:
Преобразуйте произведение многочленов в многочлен стандартного вида (296-300):
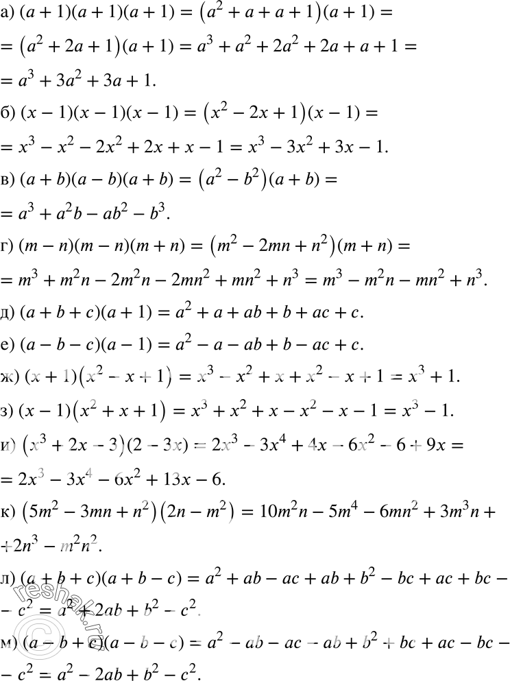
296 а) (а + 1)(а + 1)(а + 1);
б) (x-1)(x-1)(x-1);
в) (а + b) (а - b) (а + b);
г) (m-n)(m-n)(m-n);
д) (а + b + с) (а + 1);
е) (a-b-c)(a-1);
ж) (х + 1) (x2 - х + 1);
з) (x-1)(x2+x+1);
и) (х3 + 2х - 3) (2 - Зх);
к) (5m2-3mn+n2)(2n-m2);
л) (а + b + с) (а + b - с);
м) (a-b+c)(a-b-c).
*размещая тексты в комментариях ниже, вы автоматически соглашаетесь с пользовательским соглашением