Упр.29 ГДЗ Колягин Ткачёва 8 класс (Алгебра)
Решение #1

Рассмотрим вариант решения задания из учебника Колягин, Ткачёва, Фёдорова 8 класс, Просвещение:
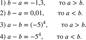
29. Сравнить числа a и b, если:
1) b-a=-1,3; 2) b-a=0,01; 3) a-b=(-5)^4; 4) a-b=-5^4.
*размещая тексты в комментариях ниже, вы автоматически соглашаетесь с пользовательским соглашением