Упр.238 ГДЗ Дорофеев Суворова 8 класс (Алгебра)
Решение #1

Рассмотрим вариант решения задания из учебника Дорофеев, Суворова, Бунимович 8 класс, Просвещение:
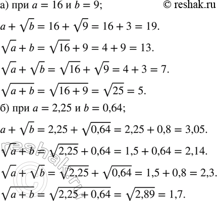
238. Найдите значение каждого из выражений
a+vb; va+b; va+vb; v(a+b):
а) при a=16 и b=9; б) при a=2,25 и b=0,64.
*размещая тексты в комментариях ниже, вы автоматически соглашаетесь с пользовательским соглашением