Упр.135 ГДЗ Дорофеев Суворова 9 класс (Алгебра)
Решение #1

Рассмотрим вариант решения задания из учебника Дорофеев, Суворова, Бунимович 9 класс, Просвещение:
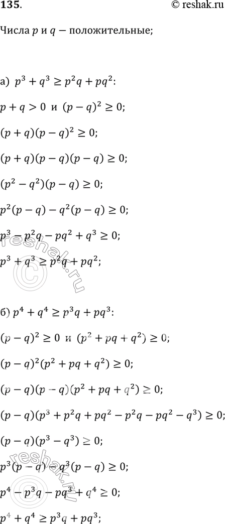
135. Докажите, что для положительных чисел р и q:
а) р^3 + q^2 > p^2q + pq^2;
б) р^4 + q^4 > p^3q + pq^3.
*размещая тексты в комментариях ниже, вы автоматически соглашаетесь с пользовательским соглашением