Упр.10.24 ГДЗ Никольский Потапов 11 класс (Алгебра)
Решение #1

Рассмотрим вариант решения задания из учебника Никольский, Потапов 11 класс, Просвещение:
Решите уравнение (10.24—10.30):
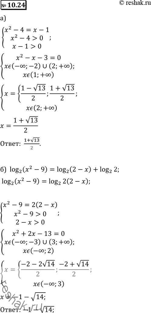
10.24 a) lg(x2 - 4) = lg(x - 1);
б) log2(x2 - 9) = log2(2 - х) + 1;
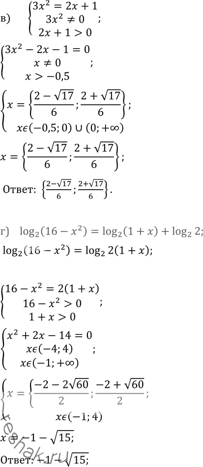
в) lg(3x2) = lg(2x + 1);
г) log2(16-х2) = log2(1 + x)+ 1.
*размещая тексты в комментариях ниже, вы автоматически соглашаетесь с пользовательским соглашением