Упр.710 ГДЗ Атанасян 10-11 класс по геометрии (Геометрия)
Решение #1
Решение #2

Рассмотрим вариант решения задания из учебника Атанасян, Бутузов 11 класс, Просвещение:
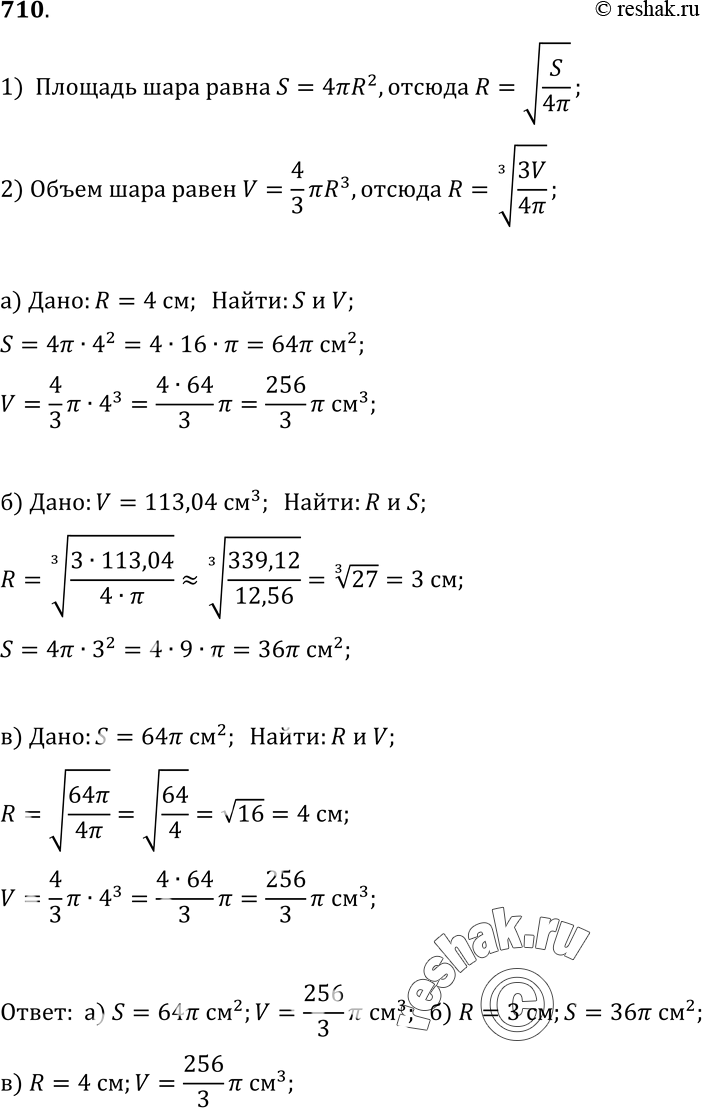
710 Пусть V — объем шара радиуса R, а S — площадь его поверхности.
Найдите: а) S и V, если R = 4 см; б) R и S, если V = 113,04 см3;
в) R и V, если S = 64л см2.
*размещая тексты в комментариях ниже, вы автоматически соглашаетесь с пользовательским соглашением