Упр.579 ГДЗ Атанасян 10-11 класс по геометрии (Геометрия)

Решение #1

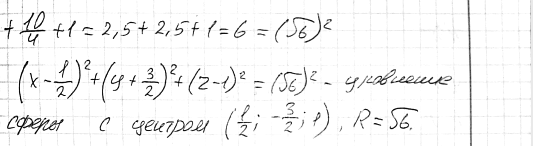
Изображение 579 Докажите, что каждое из следующих уравнений является уравнением сферы. Найдите координаты центра и радиус этой сферы: а) x2 - 4x + у2 + z2 = 0; б) x2 + у2 + z2 - 2у...
Дополнительное изображение

Рассмотрим вариант решения задания из учебника Атанасян, Бутузов 11 класс, Просвещение:
579 Докажите, что каждое из следующих уравнений является уравнением сферы. Найдите координаты центра и радиус этой сферы: а) x2 - 4x + у2 + z2 = 0; б) x2 + у2 + z2 - 2у = 24; в) x2 + 2x + + у2 + 22 = 3; г) *2 - x + у2 + 3у + z2 - 2z = 2,5.
*Цитирирование задания со ссылкой на учебник производится исключительно в учебных целях для лучшего понимания разбора решения задания.
*размещая тексты в комментариях ниже, вы автоматически соглашаетесь с пользовательским соглашением