Упр.358 ГДЗ Макарычев Миндюк 9 класс (Углубленный) (Алгебра)
Решение #1

Рассмотрим вариант решения задания из учебника Макарычев, Миндюк, Нешков 9 класс, Просвещение:
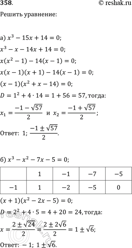
358. Решите уравнение:
а) x^3-15x+14=0;
б) x^3-x^2-7x-5=0.
*размещая тексты в комментариях ниже, вы автоматически соглашаетесь с пользовательским соглашением